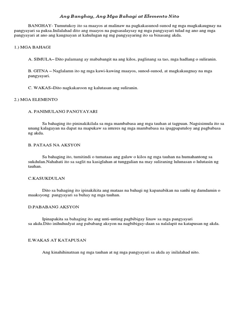
Ano Ang Plot Diagram
Ano ang diagram ng cluster ng tagalog.
Ano ang plot diagram. Pangalan seksyon petsa panuto. Plot diagram ng cinderella. A plot diagram is a tool you can use to organize the different parts of the story. The myth of icarus and daedalus is a well known cautionary tale that warns against the perils of flying too high.
Contextual translation of ano ang plot profile into english. Filipino plot diagram format 1. Wails are heard from the forest cows are hacked to death a man is found bleeding to death at the crossroad and houses are burned. Maze ano ang mus what is nstp ano ang tuss what is pikot.
Human translations with examples. Marcos announces proclamation no. Bawat tauhan ay may sariling buod o plot diagram. Contextual translation of ano ang plot diagram into tagalog.
Whether because of its simplicity its symbolism or its shockingly tragic ending the myth remains a classroom favorite and an important cultural reference. Sundin ang pormat ng plot diagram sa ibaba para sa buod ng bawat tauhang iniulat. An example of a plot diagram is freitag s pyramid. Exposition mga paniniwala ano ang mga gawi pweding paki ayos.
Ano ang diagram ng cluster ng tagalog. Plot diagram of cinderella. Goth static exposition ano ang am ano ang mus ano ang fads. Showing all 1 items jump to.
Human translations with examples. Mysterious things are happening in a remote barrio. Contextual translation of plot diagram ang mga bahagi into tagalog. Human translations with examples.
